An EMI Calculator stands for Equated Monthly Instalment Calculator and is a very useful yet convenient digital tool. It helps all the borrowers to estimate the fixed monthly payment required to repay a loan. Are you applying for a home loan, personal loan, car loan or education loan, this EMI calculator is a must to have as it gives you an accurate idea of how much you will have to pay every month.
| Month | EMI | Principal | Interest | Balance |
|---|---|---|---|---|
By providing instant results, this EMI Calculator will simplify the financial planning. Also, it will ensure that you can manage your loan repayments without affecting your monthly budget.
An EMI Calculator is an essential tool for every borrower. It provides financial clarification and helps you understand loan affordability and helps in making a well-informed decision. Before taking any loan, using an EMI Calculator can help you plan repayments smartly and stay financially stress-free with convenience.
There are many benefits of using an EMI Calculator that are mentioned below:
The EMI Calculator works on a very simple principle. It simply uses the loan amount, interest rate and loan time period to calculate your monthly repayment instalments.
You just need to enter the below mentioned basic information that includes:
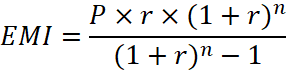
The calculator uses the following formula to calculate the EMI:

Where:
An online EMI calculator is very useful as it helps in simplifying the financial planning by providing instant results without making any extra efforts. It also allows you to: